2 Save Share Edit Copy and Edit. To see all of his four hundred children grow up To help all the animals escape the farm To be star on American Idol To overthrow Jones and all humans What country is the novels setting.

Animal Farm Chapter 6 Proprofs Quiz
It contains 53 fill-in-the blank and short answer questions.

Animal farm questions and answers chapter 1 3. Have you ever thought about the meaning and symbolism behind the book Animal Farm. 4 years ago by. - Joyful - Hes willing to do volunteer work also he has a personal slogan and his answer to every problem is I will work harder 2What is the result of all the committees that Snowball starts.
E No animal shall drink alcohol. Animal Farm Chapters 1-3. They are established to create structure and rules on the farm.
Do you have a soft spot for science fiction. Would be good to use as homework or classwork after students have finished. Social Psych- Love and Divorce Quiz Review.
In Animal Farm in what chapter does Napoleon take the puppies and is there another way that he has power over the other animals. According to Major what is the. Start studying Chapter 1-3 Animal Farm.
Report an issue. C No animal shall wear clothes. No animal shall sleep in a bed.
Whatever goes upon two legs or has wings is a friend. What is Boxers attitude. Rather than enjoying a fine book taking into account a mug of coffee in the afternoon on the other hand they juggled with some harmful virus inside their computer.
The story shows us different animals in a firm that has been under the care of humans who do not have their best interest at heart. Start studying Chapter 3 Questions and Answers. This quiz will reveal the truth.
Animal Farm Chapters 1-3. Take a quiz about the important details and events in Chapter 3 of Animal Farm. Read Free Animal Farm Questions And Answers All Chapters ancient alliance between humans and dogs and the power of fate through one boys epic journey into the wild.
Animal farm chapter 1-3 questions and answers 15 Questions Total Attempts. 1221 What was Old Majors dream. Social Psych- psych in court quiz review.
Animal Farm a book by George Orwell that depicts the society that most of us live in. B Whatever goes upon four legs or has wings is a friend. No animal shall wear clothes.
Learn vocabulary terms and more with flashcards games and other study tools. Chapter IV Questions and Answers. Whatever goes upon two feet is an enemy.
In chapters 1-3 the animals hold a weekly meeting to determine which resolutions should be voted on during which Snowball and Napoleon typically disagree with each other. Shaheen - Animal Farm Chapters 1 2 Questions. No animal shall drink alcohol.
Follow-Along Questions Study Guide. And answers chapter 1 3 but stop up in harmful downloads. The seven commandments of the Animal Farm were.
Animal farm questions and answers chapter 1 3 is. 9th - 10th grade. 20 questions Preview Show answers.
The quiz below is set up to help you review chapter 1 to 3. After the Rebellion had been achieved the pigs decided that they must tend to the harvest for they needed food for their bellies. All animals are equal.
Anatomy- Nervous System Test Review. D No animal shall sleep in bed. Learn vocabulary terms and more with flashcards games and other study tools.
Chapter V Questions and Answers Chapter VI Questions and Answers. Describe in your own words the new working system of the residents of the Animal Farm. Saturday December 12 from 34 PM PST.
Animal-farm-questions-and-answers-chapter-1-3 24 Downloaded from wwweplsfsuedu on May 24 2021 by guest Lorane lorane elementary students participate in virtual farm tour After 800000 salmon died at a Homestead fish farm animal activists are asking that government officials investigate the farm for animal cruelty and. No animal shall kill any other animal 7. A Whatever goes upon two legs is an enemy.
OTHER SETS BY THIS CREATOR. 1In the early days of the revolution what is the mood. Animal Farm - Chapters 1 and 2.
-no animal shall wear clothes-no-animal shall sleep in a bed-no animal shall drink alcohol-no animal shall kill any other animal-all animals are equal.

Animal Animal Farm Questions And Answers Chapter 4
(255).jpg)
Interesting Quiz On Animal Farm Chapter 8 Proprofs Quiz

Animal Farm By George Orwell Chapters 1 2 Vocabulary List Vocabulary Com
![]()
Animal Farm Quiz Chapters 3 And 4 With Key By Lonnie Jones Taylor

Animal Farm Chapter 2 Summary Video Lesson Transcript Study Com

Animal Farm Book Facts Mental Floss

Animal Farm Chapter 3 Questions And Answers 1

Thoughtful Study Questions For Chapters 5 7 In Animal Farm Farm Animals This Or That Questions Chapter

Animal Farm Chapter 1 Summary And Analysis George Orwell Youtube

Level 3 Questions Your Task Create 5 Level 3 Questions Over Animal Farm Chapters 1 5 A Level 3 Question Is A Semi Open Ended Question Which Generates Ppt Download
![]()
Ks4 Prose Animal Farm By George Orwell Teachit English
![]()
Animal Farm Chapter 1 Study Guide Answers By Teen Conections Tpt

Please Answer These Questions It S Animal Farm Chapters 3 And 4 Brainly Com

Ppt Animal Farm Chapter 1 Old Major S Speech Powerpoint Presentation Id 2448590

Animal Farm Chapter 3 Summary Video Lesson Transcript Study Com

Animal Farm Chapter 6 Review Questions Preview
![]()
Dialectical Journal Animal Farm Animal Farm Dialectical Journal Quote Response Now As It Turned Out The Rebellion Was The Animals Were Determined To Course Hero

Animal Farm Essay Topics And Answers Kreditaz6e6ms

Animal Farm Teacher S Guide Overview About The Author The Exchange Question Does Power Always Corrupt Pdf Free Download
![]()
Animal Farm Chapter 1 Study Guide Answers By Teen Conections Tpt

Animal Farm Study Guide Chapters One Four Pdf Free Download

Napoleon Work Quotes Animal Farm Benjamin Animal Farm Wikipedia Dogtrainingobedienceschool Com
Here Is The Answer For Chapter 1 Given Picture Chegg Com

If U Have Read Chapter 3 Of Animal Farm Can U Plz Help Me With These Questions Brainly Com

Animal Farm Resume Chapters May 2021

Animal Farm Plot Summary Video Lesson Transcript Study Com

Animal Farm Questions And Answers Chapter 1 3 To Kill

Excerpt From Animal Farm G Orwell L R Capuana

Animal Farm Chapters 1 4 Characterization By George Orwell Ppt Download
Blogging Animal Farm Chapters 3 4 The Sparknotes Blog

If U Have Read Chapter 3 Of Animal Farm Can U Plz Answer This Question Brainly Com

Animal Farm Chapter 3 Review Questions Preview

Animal Farm Study Guide Student Copy Pdf Free Download

Please Answer This Question Now It Due Today It Animal Farm Chapter 5 Brainly Com

Animal Farm Chapter I Summary And Analysis Gradesaver

Animal Farm Chapter 1 5 Questions

Chapter 3 Questions And Answers Animal Farm Flashcards Quizlet
![]()
Animal Farm Guided Reading Questions 6 10 Pdf Animal Farm Guided Reading Questions 6 10 Begin Answering Your Questions Under The Original Question And Course Hero

Animal Farm Chapter 1 Audiobook Youtube

Animal Farm Edexcel English Literature Revision Guide
Animal Farm Short Ma Bs English University Of Sargodha Facebook
Animal Farm Comprehension Questions Answers Key Chapter 1

Amazon Com Collins Snap Revision Text Guides Animal Farm Aqa Gcse English Literature 9780008247133 Collins Uk Books
![]()
Animal Farm Chapters 1 3 Quiz By Educating The Heart Tpt
(118).jpg)
Animal Farm Chapter 3 Quiz Questions Proprofs Quiz

Animal Farm Study Guide Chapters One Four Pdf Free Download
Animal Farm Chapter 1 10 Summary
Animal Farm Chapter 3 Questions And Answers 1
![]()
Dialectical Journal Animal Farm Animal Farm Dialectical Journal Quote Response Now As It Turned Out The Rebellion Was The Animals Were Determined To Course Hero

Ppt Animal Farm Powerpoint Presentation Free Download Id 1856230

Animal Farm Study Guide Chapters One Four Pdf Free Download
![]()
Animal Farm Reading Comprehension Quiz Bundle Chapter 1 10 By A Novel Concept

Animal Farm Esl Worksheet By Blueswan
Read Animal Farm Study Guide Answers Chapter 3 Free Kindle
Animal Farm Character Map Cliffsnotes

Animal Farm Chapter 1 Questions And Answers Animal Farm 1 10 Questions And Answers
![]()
Chapter 1 Language Techniques In Animal Farm George Orwell
![]()
Animal Farm Comprehension Questions Chapter 1
![]()
Animal Farm Activities And Assignments For Every Chapter Tpt

Animal Farm Chapter 3 Questions And Answers 1

Amp Up Animal Farm Teaching Animal Farm Like It Is Your Civic Duty Building Book Love

Quiz Worksheet Questions On Animal Farm Chapter 4 Study Com

Animal Farm Chapter 3 Questions And Answers
Solved Here Is The Example For Chapter 1 I Need The Answe Chegg Com
Reading And Studying The Book Animal Farm By George Orwell For Teens Small Online Class For Ages 14 18 Outschool

Animal Farm By George Orwell Paperback Barnes Noble

Animal Farm Chapters 1 3 Review Ppt Download

Animal Farm Chapter 8 Summary Video Lesson Transcript Study Com

Animal Farm Chapter 7 Review Questions Preview
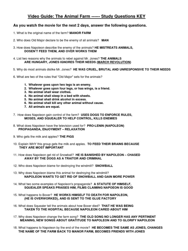
Video Guide Animal Farm 2009 Key
![]()
Animal Farm Literature Guide 2010 Secondary Solutions Llc Answers Aja Pictures

Animal Farm Edexcel English Literature Revision Guide

Ppt Animal Farm Powerpoint Presentation Free Download Id 1856230

Animal Farm 75th Anniversary Edition George Orwell Russell Baker 8601409685823 Amazon Com Books
Animal Farm Chapter 3 Literature Quiz Quizizz
![]()
Dialectical Journal Animal Farm Animal Farm Dialectical Journal Quote Response Now As It Turned Out The Rebellion Was The Animals Were Determined To Course Hero

Animal Farm Chapter 1 5 Questions
Animal Farm Homework Help Online Essay Writing Service Review
Animal Farm 1 10 Questions And Answers Animals And Humans

Animal Farm By George Orwell Chapter 1 3 Flashcards Quizlet
![]()
Animal Farm Interactive Bookmark Questions Analysis Vocabulary
Eng3u Resources Animal Farm Ms Groom S English Class
Vanessa Watson Af 3 4 Discussion Questions

Animal Farm Chapter 3 Questions And Answers Chapter 1 Animal Farm Questions And Answers Icse Class 10
Animal Farm Ch 4 Questions With Answers Cute766

Animal Farm Questions And Answers Enotes Com





